L1和L2正则常被用来解决过拟合问题。而L1正则也常被用来进行特征选择,主要原因在于L1正则化会使得较多的参数为0,从而产生稀疏解,将0对应的特征遗弃,进而用来选择特征。
但为什么L1正则会产生稀疏解呢?这里利用公式进行解释。
假设只有一个参数为 w,损失函数为L(w),分别加上L1正则项和L2正则项后有:

假设L(w)在0处的倒数为 d0 ,即

则可以推导使用L1正则和L2正则时的导数。
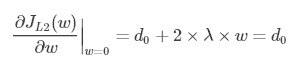
引入L2正则项,在 0 处的导数

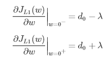
引入L1正则项,在0处的导数

可见,引入L2正则时,代价函数在 0 处的导数仍是 d0 ,无变化。而引入L1正则后,代价函数在0处的导数有一个突变。从 d0 + λ 到 d0 − λ ,若 d0 + λ 和 d0 − λ 异号,则在 0 处会是一个极小值点。因此,优化时,很可能优化到该极小值点上,即 w = 0 处。
这里只解释了有一个参数的情况,如果有更多的参数,也是类似的。因此,用L1正则更容易产生稀疏解。
版权声明:本文为CSDN博主「keep_forward」的原创文章,遵循 CC 4.0 BY-SA 版权协议,转载请附上原文出处链接及本声明。
原文链接:https://blog.csdn.net/b876144622/article/details/81276818